¿Cuál sería la superficie de revolución engendrada por una curva de Gauss?
Comienzo a redactar estas notas el 1 de abril de 2020, en España; estamos confinados por el tema del Covid-19 desde el día 14 de marzo y acabaremos, salvo prorrogas, el 11 de abril.
Me he preguntado: ¿Por qué he «decidido» hacer caso del Decreto de Confinamiento? He encontrado diversas respuestas:
- Porque quiero sobrevivir y que sobrevivan
- Porque mientras esté en vigor, es la Ley
- Porqué mi cálculo intuitivo de riesgo es mayor no haciendo caso, que cumpliendo
- Porqué la “incomodidad” que supone parece que es temporal
Por eso me quedo en casa.
Pero, tengo objeciones:
- Se permite paseos individuales si llevas perro y si vas sólo, no se permiten
- No puedo conducir hacía la segunda residencia y hacer allí el confinamiento
- No puedo ir en solitario al monte
- No se cuanto va a durar esto y me pregunto: ¿moriré encerrado?
- etc
Por eso, mi decisión es matizada; es decir, no es un SI rotundo y mucho menos entusiasta; no llega al 1, aunque está lejos del cero…Pero estoy situado entre los que cumplen el confinamiento que,por lo que veo, oigo y leo, somos la inmensa mayoría.
Doy un vistazo a la pirámide de Masslow y noto que en mi jaula dorada, tengo de “casi todo”[1] … repito: percibo que el riesgo fuera de casa es mayor que dentro de ella; tengo esta percepción pues:
- No quiero infectarme ni infectar a los demás
- Deseo que muera el mínimo número de personas
- La policía local, autonómica, nacional y la Guardia Civil, si viajo, pueden denunciarme; he leído que, en un fin de semana, ha habido 3.695 denuncias de conductores que iban a la segunda residencia (quizás esas denuncias se salden con una multa que puede ir de 500 a 1500 euros, por ejemplo)
Estoy leyendo acerca de una partícula en un pozo y de cómo las condiciones de contorno, permiten encontrar los valores de A y B en la ecuación Ψ(x)= A sen kx+ B cos kx… y me pregunté: en consonancia con las publicaciones que he realizado, ¿cuál podría ser nuestra ecuación? ¿Cuál nuestra función de distribución? ¿intencionalidad y decisión[2]?
En primer lugar, pienso que un máximo de denuncias podría servir para estimar el número de personas que deciden no cumplir el confinamiento; será inferior a 120.000 en un mes. Si somos unos 46,6 * 106 de personas en España, podríamos estimar que menos del 0,01 se sitúa fuera del cumplimiento del estado de Alarma (es decir, unas 470.707 personas). ¿Qué perciben ellas para tomar esa decisión?
En segundo lugar, supongamos un mínimo de 5 personas, a,b,c,d y e. Supongamos que cada persona, intuitivamente, evalúa el “riesgo percibido” de seguir el Decreto de confinamiento (RP1) y el “riesgo percibido” de incumplir dicho Decreto (Rp2)
- a piensa que RP2 >>> RP1, por eso cumple el Decreto
- b piensa que RP2 =RP1, por eso no cumple el Decreto
- c piensa que “lo que tenga que ser, será” y, procurando no enfermar, sigue su vida
- d piensa que RP2 <<< RP1, por eso NO cumple el Decreto y está por la Rebelión
- e piensa que RP2>>RP1, por eso cumple el Decreto, pero ve aspectos irracionales y/o improvisados
Puestos a imaginar, pienso que esos millones de “casi-decisiones”, discretas pero matizadas ligeramente, forman un continuo (no es dentro/fuera: hay muchos matices) e imagino que se pueden representar mediante una función continua que “sugiero”[3], es la distribución normal tipificada
F(z) = 1/√(2π) e– (u*u)/2 donde ( u= (x-µ )/ σ ); normalmente, se emplea “z” en vez de “u”
No debemos de perder de vista que, en nuestro caso, el eje X señala los valores de la intencionalidad y para cada valor de X, habrá un número de casos que se representan en un eje perpendicular al eje X y que normalmente, es el Y; la población es la totalidad de habitantes de España
Claro, la función densidad N (0,1) tiene un máximo y dos puntos de inflexión, es simétrica, es una distribución de probabilidad y tiene otras propiedades.
Tengo la “certeza” de que las personas tipo “a”, las que acatamos, somos, al menos, el 99%. ¿Qué valor de Z correspondería?
P(u)-(1-P(-u))= 2 P(u)-1; u=z=2,57
Tres anotaciones:
Un aspecto central son lo que podríamos denominar “condiciones de contorno”, que en nuestro caso tienen que ver con:
- La peligrosidad del virus[4]
- La cuantía de las multas, el celo de los agentes y la efectividad del sistema judicial[5]
- Situaciones de “enorme” dependencia, que afectan a millones de personas[6] y que hacen más quimérica la “decisión”
Estas condiciones, entran a contar en mi decisión (proceso en el que influyen muy probablemente la triada formado por: genética + experiencias similares+ análisis) en la parte analítica… hasta que “experimento” (no calculo) que RP1 es menor que RP2. Pero esto es otra cuestión.
Nuestras decisiones a las normas del estado de Alarma podrán explicarse de varias formas; una es esta. Puede explorarse la utilización de la distribución normal tipificada para la descripción del proceso decisional humano[7] (de carácter estadístico, es decir, una población de muchísimos individuos), además de para el coeficiente intelectual o la estatura.
Esta función distribución, obviamente, está relacionada con la función distribución que intentaba encontrar para los puntos humanos (ph), cuando escribía [8]:
En este supuesto, las decisiones que toman los ph son función de su intencionalidad y su PALP; así pues: ∫ρ dpdq = 1 , siendo ρ(p1….pn, q1….qn) una función de distribución estadística de todas las intencionalidades y PALP’s[9].
Nótese que incluir a los activos está justificado por varias razones:
- Para desarrollar cualquier proyecto se necesitan Recursos y estos, en general, pueden lograrse con recursos económicos; cualquiera que sea la escala del proyecto.
- Pocas escuelas de pensamiento pondrán en tela de juicio el papel central de la economía en el desarrollo de la Historia; algunas incluso le han dado un papel absolutamente preponderante
- De entre las organizaciones que tienen información personal detallada e individualizada, destaca el Ministerio de Hacienda
De forma que, bien podría ocurrir que esa función ∫ρ dpdq, estuviera formada por la distribución normal tipificada y la correspondiente a la distribución de PALP, por Estado[10] y refiriéndonos concretamente a España y a tenor de las declaraciones del IRPF, podríamos suponer que sigue otra distribución normal.
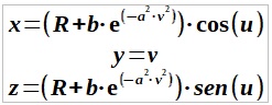
¿Cuál sería la superficie de revolución engendrada por una curva de Gauss?
Dentro del proyecto Descartes[11] y siendo su autor Josep Mª Navarro Canut (2019), se inserta parte de su trabajo, concretamente las ecuaciones paramétricas de la superficie de revolución engendrada por la campana de Gauss
Donde:
- “u” toma valores entre [-π, π]
- “v” entre [-5,5]
- “R” actúa sobre el radio de giro
- “a” modifica la amplitud de la campana
- “b” modifica su apuntamiento
En la página referenciada[12] puede probarse a variar algunos de los citados parámetros
El Software Geogebra[13] puede ser muy útil para intentar otras representaciones.
Al hacerlo sobre el eje Y, la superficie de revolucion es una suave colina,
Valencia 4 de abril de 2020
[1] Disponemos de compañía deseada, abrigo, agua, luz, telecomunicaciones, libros, música, nevera abastecida… Pero también disponemos de falta de libertad de movimientos y lo que implica (no ver a familiares, no viajar, no subir a montañas…); es este conjunto lo que hace adecuado, en mi opinión, el simil de “jaula dorada”
[2] Quiero vivir (intencionalidad) y por eso me agarro a la roca (decisión)/ Quiero vivir (intencionalidad) y por eso me alimento (decisión)
[3] “Sugiero” o “propongo”
[4] Opino que los medios tienen un papel muy relevante a la hora de mostrar la “realidad fabricada” / la realidad acaecida. Cuando el conocimiento es escaso (¿origen?, ¿comportamiento?, ¿% letal?, ¿grupos de riesgo?, ¿forma de transmisión? ..) la posibilidad de fabricar la realidad, es mayor.
[5] Debe considerarse que la disuasión puramente económica está relacionada con la disponibilidad individual, pero, en principio considero que para la gran mayoría es una barrera
[6] Por ejemplo, niños/as y personas mayores en residencias… por no hablar de los “abducidas/os” por los diferentes canales
[7] Decidimos sobre muchos aspectos a lo largo de nuestra vida
[8] Un método incómodo. ISBN: 978-84-9160-732-8. pág 20
[9] Laplace prescindió de varias hipótesis para explicar los movimientos de los planetas, al tiempo que despreció por irrelevantes en el contexto considerado, otras informaciones sobre los mismos; por poner un ej: no consideró que los Planetas estuvieran habitados.
[10] Es posible que, al menos en este momento, haya que dejar de pensar en la estadística de Boltzman e intentar “deducir” la función, para plantear formular una ecuación que se acepte por su potencial explicativo de los datos experimentales o reales puros, es decir, aceptados generalmente, sin discusión razonable
[11]https://proyectodescartes.org/descartescms/
[12] https://proyectodescartes.org/uudd/materiales_didacticos/superficies-curiosas-2_JS/figuras-revolucion-3.html






Debe estar conectado para enviar un comentario.